Combinazione Quadratica Completa
In questo esempio, per la struttura in figura (file edificioCQC.jas), si è calcolato il taglio sui pilastri inferiori dovuto al sisma nella direzione X come Combinazione Quadratica Completa del taglio dei singoli modi.
I file di input necessari per riprodurre l'elaborazione previsti dal §10.2 delle NTC sono contenuti nella cartella analisi_modale_edificio_CQC.zip.

Le dimensioni di interesse della struttura sono:
|
Piano |
Quota [m] |
Pilastri |
K [Nm] |
Massa [Kg] |
|||
|
H [m] |
N° |
Bx [cm] |
By [cm] |
||||
|
1 |
3,00 |
3,00 |
12 |
35 |
25 |
171282767 |
74034 |
|
2 |
7,40 |
4,40 |
6 |
30 |
25 |
9892483 |
30692 |
|
3 |
7,50 |
4,50 |
6 |
25 |
25 |
7706276 |
29127 |
I calcoli sono fatti utilizzando l’ipotesi di telaio share-type (travi rigide) con Octave ed il risultato finale è confrontato con quello ottenuto con Jasp.
I calcoli eseguiti, e la simbologia usata, fanno riferimento alla procedura descritta nella pagina Validazione / Analisi Dinamica / Richiami Teorici
Le variabili utilizzate sono:
M = matrice delle masse;
K = matrice delle rigidezze;
PSI = matrice degli autovettori, ogni vettore colonna è un autovettore;
AMBDA = matrice diagonale con gli autovalori
T = vettore dei periodi
U = vettore di elementi 1
m = vettore con le masse per piano;
L = vettore dei fattori di partecipazione modali
mtot = massa totale.
s = vettore con le quote di massa partecipante
a = vettore con le accelerazioni come da spettro di progetto,
p = vettore dei coefficienti di amplificazione modale come definiti nella (6),pagina ilcodice#analisi_dinamica
F = vettore delle forze sismiche modali
Vpsi = vettore del taglio dei modi sui pilastri inferiori
Vpil = vettore del taglio dei modi scalato,per ogni pilastro inferiore.
Il file di input per Octave (CQC.m) è
m1=74034;
m2=30692;
m3=29127;
M = [ m1, 0, 0;
0, m2, 0;
0, 0, m3]
k1=171282767;
k2=9892483;
k3=7706276;
K = [ k1+k2+k3, -k2, -k3;
-k2, k2, 0;
-k3, 0, k3]
[PSI,LAMBDA]=eig(K,M)
T=2*pi./sqrt(diag(LAMBDA))
Itest = PSI'*M*PSI
U=[1;1;1]
m=M*U
L = PSI'*m
mtot = U'*m
s = L.^2/mtot
a = [0.900642736; 0.900642736; 1.055783939]
p = a.*L./diag(LAMBDA)
F = K*PSI
Vpsi = U'*F
Vpil = (Vpsi.*p')./12
L’ output risulta essere:
M =
74034 0 0
0 30692 0
0 0 29127
K =
188881526 -9892483 -7706276
-9892483 9892483 0
-7706276 0 7706276
PSI =
3.4095e-004 -2.5389e-004 3.6506e-003
1.4898e-003 -5.4855e-003 -5.2065e-004
5.6301e-003 1.5687e-003 -4.1674e-004
LAMBDA =
Diagonal Matrix
248.55 0 0
0 307.40 0
0 0 2582.22
T =
0.39854
0.35837
0.12365
Itest =
1.0000e+000 4.1742e-018 6.6841e-017
2.7539e-017 1.0000e+000 -2.4306e-016
5.8201e-017 -2.4681e-016 1.0000e+000
U =
1
1
1
m =
74034
30692
29127
L =
234.96
-141.47
242.15
mtot = 133853
s =
0.41243
0.14952
0.43806
a =
0.90064
0.90064
1.05578
p =
0.851374
-0.414488
0.099006
F =
6.2740e+003 -5.7780e+003 6.9789e+005
1.1365e+004 -5.1754e+004 -4.1264e+004
4.0760e+004 1.4045e+004 -3.1344e+004
Vpsi =
5.8399e+004 -4.3487e+004 6.2528e+005
Vpil =
4143.3 1502.1 5158.9
Le accelerazioni sismiche sono calcolate dallo spettro di progetto:

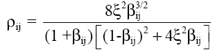
Il taglio di progetto è calcolato, come prescritto dal § 7.3.3.1 mediante la combinazione quadratica completa dei tagli, ossia utilizzando l’espressione:

Con il coefficiente di correlazione ρij tra il modi i ed il modo j calcolato con la formula:

Dove:
ξ è lo smorzamento viscoso dei modi i e j;
βij è il rapporto tra l’inverso dei periodi di ciascuna coppia i-j di modi (βij = Tj/Ti).
I calcoli sono fatti con il seguente foglio elettronico:

Confronto con Jasp
Il valore calcolato con Jasp è 7226.8 N